Risque économique
Le risque économique désigne l’incertitude liée à la variabilité des phénomènes économiques dans un contexte d’incertitude. Il peut impacter les revenus ou le patrimoine des agents économiques, qu’il s’agisse de particuliers ou d’entreprises. Cette variabilité s’analyse à l’aide de divers outils statistiques, tels que la variance ou la dominance stochastique.
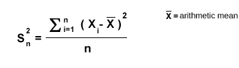
- Variance. La variance d’une variable aléatoire X est une mesure statistique de la dispersion, qui évalue l’ampleur des fluctuations des valeurs de X autour de leur espérance mathématique. Elle se calcule en prenant la moyenne des carrés des écarts à la moyenne. Autrement dit, la variance quantifie l’éloignement de chaque observation Xi par rapport à l’espérance E(X). Elle est généralement notée Var(X) ou S². La formule est illustrée ci-dessous :

La variance peut être déterminée à partir d’une moyenne arithmétique simple ou en utilisant la valeur espérée de X comme point de référence. Lorsque la loi de probabilité P est connue pour chaque réalisation Xi, on pondère chaque écart au carré (Xi − E(X))2 par la probabilité correspondante Pi.

- Dominance stochastique. La dominance stochastique est une méthode de comparaison des variables aléatoires fondée sur leurs distributions de probabilité. Elle est couramment utilisée en théorie de la décision pour évaluer et hiérarchiser les alternatives selon les préférences du décideur et son degré d’aversion au risque.
Dans le domaine du crédit, le risque économique correspond à la possibilité qu’un emprunteur ne rembourse pas, en tout ou en partie, les fonds qui lui ont été accordés. Pour le prêteur, cela représente une perte financière, tant sur le capital non remboursé que sur les intérêts non perçus.
