Élasticité de la demande
L'élasticité de la demande mesure la variation en pourcentage de la quantité demandée en réaction à une variation en pourcentage du prix d'un bien.

L'élasticité permet d’évaluer la sensibilité ou la réactivité de la demande face aux fluctuations de prix (réactivité de la demande au prix).
En général, lorsque l'on parle d'élasticité de la demande, on fait référence à l'élasticité-prix de la demande. Cependant, comme il existe d'autres formes d'élasticité de la demande (telles que l'élasticité-revenu), il est préférable de préciser le type d'élasticité auquel on fait référence.
Le coefficient d'élasticité de la demande
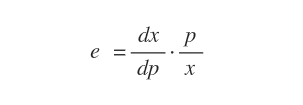
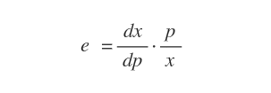
Le coefficient d'élasticité-prix, noté ε, se définit ainsi :

Le coefficient ε exprime la variation relative de la quantité demandée ( Δx1/x1 ) d’un bien x1 en réponse à une variation relative de son prix ( Δp1/p1 ).
Remarque : Les variations de quantité et de prix peuvent être exprimées en termes relatifs ou en pourcentage.
Le coefficient d'élasticité est toujours pris en valeur absolue, sans tenir compte des signes des variations de prix et de demande.

La valeur absolue de l'élasticité peut aller de zéro à l'infini.
Élasticité ponctuelle sur la courbe de demande
Sur une courbe de demande, l'élasticité change d'un point à l'autre.
Pour en tenir compte, on calcule souvent l'élasticité ponctuelle en utilisant le calcul infinitésimal.
L'élasticité ponctuelle correspond à la dérivée première de la demande par rapport au prix.

Élasticité ponctuelle : L'élasticité ponctuelle est mesurée à un point précis de la courbe de demande à partir de variations infinitésimales de la quantité demandée et du prix. Par exemple, sur une courbe de demande, l'élasticité varie d'un point à l'autre, ce qui permet de déterminer dans quelle mesure la demande est sensible (ou élastique) au prix en tout point de la courbe.
Analyse de l'élasticité sur la courbe de demande
Dans la première partie de la courbe de demande, l'élasticité est inférieure à un (élasticité faible), ce qui signifie qu'une variation du prix entraîne une variation proportionnellement moindre de la quantité demandée.

Dans les sections ultérieures de la courbe de demande, l'élasticité dépasse un (élasticité élevée), ce qui signifie qu'une légère variation du prix entraîne une variation proportionnellement plus grande de la quantité demandée.
Types de demande : élastique, inélastique et rigide
Pourquoi étudier l'élasticité de la demande ?
L'élasticité de la demande permet de mieux comprendre les caractéristiques de la courbe de demande.
Selon son élasticité, la demande peut être classée comme suit :
- Demande à élasticité unitaire (e=1). La demande varie proportionnellement au prix. Lorsque l'élasticité est égale à un, la demande évolue dans la même proportion que les variations de prix.
Par exemple, une baisse de prix de 10 % entraîne une hausse de la demande de 10 %. Ainsi, une baisse du prix du produit n'affecte pas le revenu total du vendeur (R = P Q), car la baisse en pourcentage du prix P est entièrement compensée par l'augmentation de la quantité demandée Q.
- Demande inélastique (e<1). La demande varie moins que le prix. Lorsque l'élasticité est comprise entre zéro et un, la demande est peu réceptive aux variations de prix. La quantité demandée reste relativement stable malgré les fluctuations de prix.
Par exemple, une baisse de prix de 10 % pourrait entraîner une augmentation de la demande de moins de 10 %, disons seulement de 5 %. Par conséquent, une réduction du prix diminue le revenu total du vendeur. La demande inélastique est typique pour les biens de première nécessité (comme les aliments, le pain, le lait) et, paradoxalement, pour certains produits de luxe (comme les yachts, les bijoux), car dans les deux cas, les comportements d'achat ne sont guère influencés par les variations de prix, bien que pour des raisons différentes.
- Demande élastique (e>1). La demande varie davantage que le prix. Lorsque l'élasticité est supérieure à un, la demande est très sensible aux variations de prix, ce qui signifie que la quantité demandée réagit de manière plus que proportionnelle aux fluctuations de prix.
Par exemple, une réduction de prix de 10 % pourrait entraîner une augmentation de la demande de plus de 10 %, voire de 20 %. Réduire le prix accroît ainsi le revenu total du vendeur. Ce type de sensibilité au prix se retrouve fréquemment dans les marchés internationaux fortement concurrentiels pour des produits standardisés (comme les produits agricoles) en concurrence parfaite.
- Demande parfaitement inélastique (e=0). La quantité demandée ne varie pas avec le prix. Elle demeure inchangée, quelle que soit la fluctuation du prix. Les consommateurs continuent d'acheter la même quantité du bien à tout prix.
Par exemple, une baisse de prix de 10 % n'a aucun effet sur la quantité demandée. La demande est totalement inélastique (ou rigide) pour les produits essentiels (comme la nourriture) et les articles de luxe. Par exemple, un consommateur à faible revenu achète habituellement la même quantité de pain ou de sel quelle que soit la variation de prix, tandis qu'un consommateur aisé fait de même pour des produits de luxe ou raffinés (comme le caviar), indépendamment des fluctuations de prix.
- Demande parfaitement élastique (e=∞). La demande est extrêmement réactive aux variations de prix. Une légère modification du prix peut radicalement changer les décisions d'achat des consommateurs.
Par exemple, si le prix du produit augmente de seulement 10 %, la demande pourrait s'effondrer de 90 %, ou inversement.
